Archive for the ‘seo news’ Category
Wednesday, March 22nd, 2023

In the modern e-commerce world, personalization is everything. It’s what engages customers, inspires them, and keeps them coming back. As the global economy remains uncertain, it’s important to apply those personalization tactics to your tried-and-true customer communication strategy — email marketing.
Simply put, first-party data is the fuel you need to drive successful email personalization initiatives and strategies in e-commerce. Specifically, first-party data is customer information that your company collects directly via its own channels and sources with the customer’s consent. These channels include email, mobile apps, websites, social media, SMS and more. Since you are collecting this data yourself, it makes the data unique, as no other company can collect these specific data points. Advancements in modern marketing technology make it possible to centrally access this information and use it in marketing automation campaigns.
You can comfortably rely on this data for one massive reason — you’ve sourced it yourself. You know you’ve collected it compliantly and can now use it to strategize and scale winning customer journeys with your brand.
Building your email personalization around first-party data guarantees that your personalization efforts are all-encompassing. It ensures that your company is using its collected customer data to transform the customer experience and drive brand loyalty meaningfully.
Perhaps the most important right now, relying on the channel (email) consistently recognized as the highest-ROI medium for any marketing team is the most financially savvy move your company can make. Creating personalized email campaigns with the right all-in-one platform will allow your company to generate fast ROI at scale without adding additional resources and overburdening your team and can also save your practitioners time when creating those emails. An all-in-one platform will be especially essential if your company needs to cut ties with outside agencies and start handling all marketing initiatives in-house, all while cutting back on advertising spend across the board.
Just because recession-like conditions are on the horizon, that doesn’t mean that your company’s marketing and revenue-generating efforts must suffer. Investing more of your budget into email can result in your company getting significantly more in return. Find out more about preparing your marketing for economic uncertainty by reading this insightful guide.
The post Email is key to marketing in an unpredictable economy appeared first on Search Engine Land.
Courtesy of Search Engine Land: News & Info About SEO, PPC, SEM, Search Engines & Search Marketing
Tuesday, March 21st, 2023
rel=next/prev was not found on Google. That’s an error.
In 2019, we learned Google had stopped supporting the rel=next/prev markup it had introduced in 2011.
Worse than that, Google hadn’t been using it for indexing for a “number of years,” according to Google’s John Mueller.
All the while, Google continued to recommend using it, so SEOs, publishers and developers invested resources into implementing and maintaining the markup – all for no benefit.
Google apologized for the “oversight” a day later.
Also on this day
2022: The update also included support for custom actions and action triggers, conversion goals, shared audiences and more.
2019: But no, this didn’t confirm Google was using engagement metrics in rankings.
2019: Neural matching helped Google better relate words to searches, while RankBrain helped Google better relate pages to concepts.
2019: The company also announced new fact-checking tools and other efforts to stop the spread of ‘misinformation.’
2019: The latest upgrades made to Bing around voice, image and answer search.
2019: Alexa devices dominated, but higher Google Home NPS scores suggested it would have better word of mouth and could gain market share.
2019: The buy reportedly required a minimum $35,000 budget.
2018: Google was able to crawl, index and rank them.
2018: Subscribers would see articles from their subscribed publications higher in the search results and be logged in to those publications across devices.
2017: The shortcuts offered quick answers on weather, sports and entertainment info.
2014: From the keyword tab, advertisers could add several columns to their reporting from the Bid simulator section offered in the Customize Columns menu.
2014: 33 of 50 participants in a usability study preferred the “clean,” “fresh” and “uncluttered” new version.
2014: You could tell Google you only wanted alerts for specific keyword phrases within a specific region or country or a specific language.
2014: It mocked searchers, Google Doodles, Google Glass and Bing.
2014: The latest images showing what people eat at the search engine companies, how they play, who they meet, where they speak, what toys they have, and more.
2013: When you searched for [Angel Tompkins], the image shown for her was from a site that appeared to be a spam blog with nude images of people.
2013: Another open letter about how poorly the service was working.
2013: Bing expanded Satori to include more people, places and things.
2012: It would further reduce the ability for publishers to know how people find their sites in Google — except for Google advertisers.
2012: Google gave AdWords users a new way to figure out whether their ads are approved, or not, and why.
2012: Enhancements would include broad match modifier, AdCenter Express and more.
2011: An annual study ranked Google the top place for young working professionals to work at.
2011: Google was the No. 1 source of traffic for 26 of the 35 properties analyzed (74%), and Google traffic had increased or stayed the same since last July for 24 of them (69%).
2011: Google implemented changes to Google Partner Search to make it easier for the two parties to get in contact.
2011: This was the first fine/penalty any country had levied against Google over the WiFi data collection.
2011: A Berlin court vindicated Google Street View operation in Germany.
2011: Use the wrong spelling, and your story might go missing. Could search tell us the “right” one?
2011: Google blamed the Chinese government for “politically motivated attacks” that had disrupted Gmail service for some Chinese users.
2011: If approved by US regulators, AT&T would have become the largest wireless carrier by a wide margin.
2011: The company shared a new video, new website, blog posts, and had a national TV appearance on tap.
2008: The reports within the benchmarking feature included visits, pageviews, pages/visits, bounce rates, average time on site and new visits.
2008: Google had implemented this feature as a default on other non-U.S. based search engine home pages but never as the default at Google.com.
2008: LinkedIn, with help from BusinessWeek’s CapitalIQ, added a company directory and related factual information to its business network.
2008: A fascinating inside glimpse into Wikipedia’s finances, and the people responsible for both raising money and spending it. And more.
2008: The latest images showing what people eat at the search engine companies, how they play, who they meet, where they speak, what toys they have, and more.
2007: Google won the case brought against them by KinderStart over Google downgrading their rankings.
2007: You could add a snippet of code on your site to show off the most popular queries performed by your readers.
2007: Google pushed back on earlier reports of building its own cell phone.
2007: “I’m totally all smiles,” Semel said about Panama.
2007: A quick roundup of some local search news.
2007: Bourdoncle co-founded Exalead with the goal of revolutionizing the search engine software market by providing users with a unified technology platform to access information in the enterprise.
2007: Rebranding itself somewhat as a “community” search engine, PreFound, like others, was trying to build a human-edited layer on top of general (in this case Google) search results.
From Search Marketing Expo (SMX)
Past contributions from Search Engine Land’s Subject Matter Experts (SMEs)
These columns are a snapshot in time and have not been updated since publishing, unless noted. Opinions expressed in these articles are those of the author and not necessarily Search Engine Land.
< March 20 | Search Marketing History | March 22 >
The post This day in search marketing history: March 21 appeared first on Search Engine Land.
Courtesy of Search Engine Land: News & Info About SEO, PPC, SEM, Search Engines & Search Marketing
Tuesday, March 21st, 2023
This truly is an unprecedented time in the life of the marketer: Groundbreaking generative AI technology, increasing customer expectations of personalized experiences, a growing emphasis on respecting user privacy… the list goes on.
Attend MarTech, online March 28-29, for free to explore these critical trends – and the solutions, strategies and tools you need to stay a step ahead of the competition.
Tune in live for Overtime – extended Q&A with select speakers, your chance at a free book giveaway from keynote speaker Sangram Vajre, and engaging Coffee Talk networking meetups on ChatGPT, GA4 and MOps!
Can’t attend live? On-demand access is included with your free pass so you can explore at your own pace.
Grab your FREE pass now!
The post ChatGPT. GA4. Privacy-First CX. Explore it all online – next week – for free! appeared first on Search Engine Land.
Courtesy of Search Engine Land: News & Info About SEO, PPC, SEM, Search Engines & Search Marketing
Tuesday, March 21st, 2023
To get results from paid search, you’ll need to deliver better campaigns and increase your bids, which drives costs up.
However, increasing your bids won’t always mean more clicks. Eventually, you’ll reach a point where increased bids will only return little to no gain.
This is the law of diminishing returns at play. When running PPC campaigns, you are contending with this concept and many other factors outside your control.
In this article, we’ll explore the law of diminishing returns and various factors making paid search even more demanding today. This will help you set better expectations when assessing your PPC performance.
The law of diminishing returns
In economics, the law of diminishing returns states that as an organization increases its investment in a specific area, the rate of profit generated by that investment will eventually reach a point where it cannot continue to rise, assuming that all other variables remain constant.
For this reason, additional investment in that area will result in a decreased rate of return. At a certain stage of expansion, the return on investment that applies to additional units produced (marginal ROI) reaches a negative value.
Beyond this point, the total outcome will start declining. Even if it remains positive, it is not as high as the maximum.
This principle highlights the importance of finding the optimal level of investment to maximize the overall profit. The “sweet spot” is where the marginal ROI changes from positive to negative, specifically where the marginal return equals zero.
As every resource is limited, we observe that the supply shows decreasing responsiveness to the price change, and eventually does not matter how high the price is. The supply won’t be higher. This phenomenon is described as the law of diminishing elasticity.
Price elasticity (E) measures the responsiveness of the demand or supply to a change in the price of a good or service. It is calculated as the percentage change in the quantity of a good or service demanded or supplied in response to a percentage change in its price.

Sometimes the symbol of increase “∆” is replaced by “d” to indicate that it refers to a small change.
If the price elasticity is greater than one, the demand or supply is said to be elastic, meaning that a slight change in price leads to a relatively larger change in the demand or supply. If the price elasticity is less than one, the demand or supply is said to be inelastic.
Get the daily newsletter search marketers rely on.
<input type=”hidden” name=”utmMedium” value=”“>
<input type=”hidden” name=”utmCampaign” value=”“>
<input type=”hidden” name=”utmSource” value=”“>
<input type=”hidden” name=”utmContent” value=”“>
<input type=”hidden” name=”pageLink” value=”“>
<input type=”hidden” name=”ipAddress” value=”“>
Why are CPCs so high?
The laws of diminishing returns and elasticity apply to advertising.
To generate more traffic and conversions through PPC, you have to be more aggressive and competitive, increasing bids and, in turn, accepting higher conversion costs.
Increasing cost per click (CPC), however, leads to smaller and smaller increases in traffic. Eventually, you’ll reach a point when there’s no chance to get more traffic from a specific keyword (i.e., if the ad ranks #1 for all searches with 100% impression share).
The law on diminishing returns is also reflected in the total budget. You can see how these costs can change in the Google Ads Performance Planner, as shown in the illustration below.
In most cases, the relationship will be fairly straightforward for campaigns that are not under or overinvested. To get 10% more traffic, you need to accept a ~10% higher conversion cost or a ~10% lower return on ad spend (ROAS).
This means that Google’s typical price elasticity of supply (the relative ratio of traffic increase to CPC increase) is 1.
Why is this the case? If a vendor increases their margin by 10% and loses 20% of their customers, this operation will result in a loss, and prices will likely be too high.
If a 10% increase in margin only causes 5% of customers to leave, the seller will increase their profits, and previous prices were too low.
The point at which the price is most optimal for the seller is where a 10% increase in margin results in a 10% decrease in the sales volume, making the change neutral for profits. In other words, the sales profits are highest if the price elasticity of demand is 1.
For Google, the sales margin virtually equals advertising revenue because the variable costs of the ad impression and click are negligible.
To maximize their profits, they should maintain a price elasticity of 1 – which explains how the auction algorithm works and why this regularity exists on the market.
Why does it cost so much?
In PPC, the natural consequence of the law of diminishing returns is a non-linear increase in budget to scale the campaign.
With elasticity E=1, which is typical for the market, doubling the traffic and sales volume is associated with doubling the CPC, resulting in a four-fold increase in budget.
At other levels of elasticity, these proportions will be different. But it is unrealistic to think that doubling the budget will lead to doubling sales in a given channel.
Marketing and business plans often reflect such expectations, only to fall through later. Expansion is costly, and the truth is even more bitter than this.
Google and Meta are here to do business
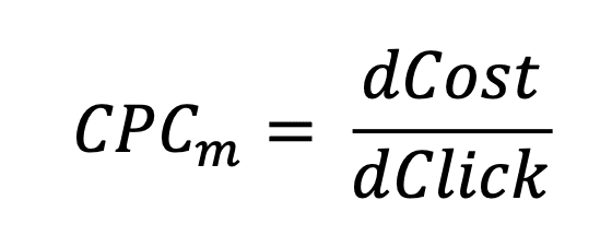
The cost of acquiring an additional click (i.e., the marginal cost per click or CPCm) is almost always higher than the actual CPC. By definition:
Also, by definition, the elasticity:
Therefore:
It means that at E=1, buying additional clicks is twice more expensive than the current cost per click. The same calculations apply to Effective Revenue Share (ERS = Cost / Revenue)
Advertisers benefit from investing in advertising as long as the marginal cost is lower than their profit margin (i.e., they get additional profit through advertising).
When the marginal effective revenue share reaches ERSm=1, advertising costs consume the entire revenue. Further, expansion will have negative marginal revenue and the total revenue will start to decrease. Thus, the campaign generates maximum total profit when:
That is:
As ROAS = 1/ERS = ROI + 1, this formula can be written as ROAS = 1 + 1/E or ROI = 1/E.
A simple formula can define the areas of under and overinvestment and the optimum level.
If E = 1 (the typical market elasticity), the maximum total profits from advertising occur when ROI = 100% or ERS = 0.5.
It means that, on average, advertisers increase their profits until they spend 50% of their profit (without considering fixed costs) on PPC ads.
Of course, particular advertisers who advertise more or less aggressively may be in a different area of elasticity than E=1. Therefore, the ERS/ROAS/ROI maximizing advertiser profits will be higher or lower.
For every $1 invested in Google search, U.S. companies earn $2. This is how Google wants to see it, but it also means that companies give half their profits to these tech giants.
There’s no way around it
The laws of economics and the free market put businesses in a situation where Google, Meta and other ad platforms get half their sales margin before fixed cost.
Whether we like it or not, these are the rules of advertising. Understanding how the system works makes it easier to create realistic expansion plans and avoid disappointments.
The post PPC is a tough game – you have to accept it appeared first on Search Engine Land.
Courtesy of Search Engine Land: News & Info About SEO, PPC, SEM, Search Engines & Search Marketing
Tuesday, March 21st, 2023
Microsoft Bing has added Bing Chat answers in the Bing Search results in place of some of the answer boxes. We knew this was coming, as Mikhail Parakhin, who leads up Bing Search and Bing Chat, suggested would happen a week ago and now it seems to be here.
What it looks like. Here is a screenshot of one of many queries that triggers the Bing Chat answer in Bing Search:

What happens. When you search in any browser in Bing and you see this Bing Chat box come up, you can see the first answer above. But then if you want to click on an additional question in the Chat box or type your own message in that Chat box, it will lead you into Bing Chat.
Bing Chat only works currently in Microsoft Edge and when you are invited into the beta. So your journey with Bing Chat may end there in Bing Search. But yes, Microsoft is showing you a snippet of the power of Bing Chat and hoping you try to get into the beta.
Why we care. Watching how search may adapt over time with the rollout of AI chat features is interesting and also important for publishers, content creators, marketers and SEOs. If Bing will replace featured snippet-like responses with Bing Chat responses, that might impact click-through rates and traffic to your websites.
Here is one example of this happening right now.
Hat tip to David Iwanow for sending this to me.
The post Bing adds Bing Chat answers to search results appeared first on Search Engine Land.
Courtesy of Search Engine Land: News & Info About SEO, PPC, SEM, Search Engines & Search Marketing
Saturday, March 18th, 2023
2022: Google also added hotel attributes to define if hotels offered support to those displaced from Ukraine.
2020: It was critical that precautions being taken were discoverable in search results.
2020: Does adding schema help improve your search rankings? Google said no but…
2019: Related: Early data on Google March 2019 Core Update show an interesting pattern
2019: With this update, Bid Strategy Type was no longer a required column.
2019: McDonald’s campaign showed drivers in-car ads that mirrored billboards.
2016: After testing various combinations, Google launched new filter buttons in the image search results.
2016: The ad extension was in beta in the U.S.
2016: The winning photo would be featured on Bing’s home page during National Park Week and used as Bing’s Facebook and Twitter cover photo in April.
2016: The latest images showing what people eat at the search engine companies, how they play, who they meet, where they speak, what toys they have and more.
2015: Google had become increasingly aggressive in trying to lure back users.
2014: Amid criticism from politicians and Google’s critics, EU antitrust chief Joaquín Almunia essentially said that Google’s antitrust settlement proposal was a done deal.
2014: Advertisers were able to start including multiple versions of keywords through Bing Ads Editor and the Bing Ads Upload API.
2014: The chief virtue of KitLocate was that it provided location to apps without using much power – unlike GPS or triangulation, which could drain mobile batteries.
2014: Agencies and business owners could use the tool to research where their listings appeared online, manage claiming and verification and listings submission.
2014: There was a fun search marketing-related Dilbert strip on the topic of doing and presenting your keyword research to your boss.
2013: Google’s John Mueller: “We found unnatural links to an individual article, and took a granular action based on that.”
2013: The tool let you move from one domain to another domain as well as from within a site; URLs to URLs.
2011: Google added a one box even when it only had a “best guess” at the answer to a search.
2011: AllTheWeb one of the search engines Yahoo acquired in 2003 to help build Yahoo Search, would sunset April 4, 2011.
2011: A website builder and SEO firm was held liable in federal court in a case in which it was accused of enabling the sale of counterfeit goods.
2011: The latest images showing what people eat at the search engine companies, how they play, who they meet, where they speak, what toys they have, and more.
2010: The Sponsored Map Icons were a new way to promote your business within Google Maps.
2010: The company said it would soon let web users opt-out of being tracked by its popular Google Analytics software.
2010: YouTube’s chief counsel accused Viacom of “continuously and secretly” putting its content on YouTube, and “deliberately” making the material look amateur.
2010: An updated interface and some feature changes to help improve usability.
2009: Cutts answers: “Does the position of keywords in the URL affect ranking?”
2009: Be careful what you say in a public setting and use social media tools to help you, not hurt you.
2009: Newssift aimed to bring context and meaning that its creators said was missing from traditional keyword-based business news search engines.
2008: Users would now be able to edit any details about a business or location, or add new businesses, even if they weren’t the business owner.
2008: Yahoo expected to double its operating cash flow in three years from $1.9 billion to $3.7 billion.
2008: China’s Alibaba.com, in which Yahoo was a significant minority shareholder, enjoyed a massive 340% gain in net profit tied to China’s fast-growing economy.
From Search Marketing Expo (SMX)
Past contributions from Search Engine Land’s Subject Matter Experts (SMEs)
These columns are a snapshot in time and have not been updated since publishing, unless noted. Opinions expressed in these articles are those of the author and not necessarily Search Engine Land.
< March 17 | Search Marketing History | March 19 >
The post This day in search marketing history: March 18 appeared first on Search Engine Land.
Courtesy of Search Engine Land: News & Info About SEO, PPC, SEM, Search Engines & Search Marketing
Thursday, March 16th, 2023

Download the 2023 SEO Trends & Predictions report from Conductor and get access to detailed data analysis and a comprehensive list of trends and predictions. With this report, you’ll be able to optimize your current (and future) SEO and content marketing strategies to maximize performance and achieve increased goals for 2023.
Get insider knowledge on top trends like the rising importance of visual search, identifying the role AI should play in your SEO workflows, and expanding search strategies beyond Google.
Don’t miss out on this invaluable resource to gain the edge with your SEO and content marketing strategies. Visit Digital Marketing Depot and get your copy today!
The post Get the latest SEO trends and predictions for 2023 appeared first on Search Engine Land.
Courtesy of Search Engine Land: News & Info About SEO, PPC, SEM, Search Engines & Search Marketing
Thursday, March 16th, 2023
Customer growth increased Semrush’s full-year revenue by 35% in 2022 to $254.3 million, up from 188.0 million in 2021.
Semrush expects to break even or show a small profit in 2023. It lost $33.8 million in 2022.
The company is financially strong; cash and short-term investments totaled $237.5 million at the end of 2022.
Customers. Semrush added 13,000 customers in 2022 and ended the year with 95,000 paying customers, up from 82,000 customers in 2021. Semrush customers who paid more than $10,000 annually grew by more than 50% year-on-year.
The company also reported its platform had more than 800,000 free active users, up more than 50% year-on-year, and saw “record levels of new customer registrations and trials.”
Employees. Semrush ended the year with more than 1,300 employees and more than 200 contractors.
The company also reported it has completed a successful relocation of about 600 employees who had been based in Russia, prior to the country’s invasion of Ukraine last year, to new office locations (Spain, the Netherlands, Germany, Armenia, Serbia, Cyprus, and the Czech Republic).
Why we care. These financial results from Semrush confirm there continues to be strong demand for SEO and SEO platforms. Also, the company is cash rich and expects to reach profitability next year. That means the 2022 losses don’t jeopardize the company’s ongoing operations.
Only “minor fine-tuning” need to help Semrush customers be found in chat-based search. “The outputs of (chat-interface search) are actually very similar to what happens if you try to produce (a) featured snippet based on a couple of top articles,” is how Semrush president Eugene Levin responded to an analyst’s question about search engines transitioning to chat interfaces. He added:
- “So from a technical point of view, optimizing for this is very similar to optimizing for featured snippets, which [we have helped] people to do for a very long time. And actually, we’ve seen a lot of demand for those features and support of our tracking feature snippet, as well as proactive recommendations about how people can… be mentioned in those features snippets.”
- “At this point, we don’t know what the final implementation (of search results) is going to be. We have only seen a couple of examples being implemented their approach to this, which is, I think, very user-friendly.”
Dig deeper. Semrush Announces Fourth Quarter and Full Year 2022 Financial Results.
The post Semrush ends 2022 with 95,000 customers, 35% revenue growth appeared first on Search Engine Land.
Courtesy of Search Engine Land: News & Info About SEO, PPC, SEM, Search Engines & Search Marketing
Thursday, March 16th, 2023

With so much uncertainty right now, one thing has remained constant: programmatic campaigns work. Programmatic is built for the open internet and provides a seamless cross-channel experience for consumers. Unparalleled targeting, customizable architecture, and advanced optimizations make programmatic an option you can rely on.
Register today for “The Power of Programmatic Advertising: Stay Relevant With This Reliable Tactic,” presented by Adtaxi.
Click here to view more Search Engine Land webinars.
The post The power of programmatic advertising appeared first on Search Engine Land.
Courtesy of Search Engine Land: News & Info About SEO, PPC, SEM, Search Engines & Search Marketing
Thursday, March 16th, 2023
Google has implemented updates to the Auto ads settings panel, making it simpler to distinguish between various ad formats.
What’s new. There are five new changes to the auto ad settings panel.
- The first change involves categorizing the formats into two groups based on their behavior. The ‘Overlay formats’ group includes anchor, vignette, and side rail ads, which are placed over a page’s content without affecting its layout. The ‘In-page formats’ group comprises banner and multiplex ads, which are inserted within areas of a page based on the page’s layout and content.
- The previously named ‘in-page ads’ format is now known as ‘banner ads’ and is part of the ‘In-page formats’ group.
- The controls for banner ads and multiplex ads are now separate, eliminating the need to enable banner ads before multiplex ads.
- Each format now has its own unique icon for easy identification.
- There is now an ad gallery displaying examples of each format.
Release date. These updates will be accessible during your next visit to the Auto ads settings panel. For more information about Auto ads settings, please refer to the link provided.
Dig deeper. You can learn more about auto ads here.
Why we care. By categorizing them into two distinct groups and providing individual controls for each format, publishers can easily choose the ad type that best suits their needs without having to navigate through complex settings.
The post 5 new updates to Google AdSense Auto Ads appeared first on Search Engine Land.
Courtesy of Search Engine Land: News & Info About SEO, PPC, SEM, Search Engines & Search Marketing